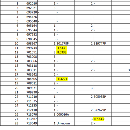
BREAKING: Two FOIs Prove That There Were Batches of Pfizer Vaccine That Had Killed People and Should Have Failed the Batch Analysis
But they kept jabbing
One-time or recurring donations can be made through Ko-Fi:
By Jikkyleaks Dec 27, 2022
PREMEDITATED MASS MURDER: Alarming Data From Canada and Vaccines Batch Scandal
Dr. Michael Yeadon: there can only be strategic intent here, not mishap or even coincidence
Related articles:
Dr. Yeadon Warns: So-Called “COVID Vaccines” Are Toxic by Design
Dr. Michael Yeadon: THIS MUST STOP! Pfizer Documents Show FDA Knew of Death Risk
Dr.Sucharit Bhakdi: Why ALL mRNA 'Vaccines' Will Cause Harm
Dr.Sucharit Bhakdi: Routine Introduction of Gene-Based Vaccines Spells the Downfall of Mankind “
SHOCKING - Here is What Really is in the Vaccines
Demonic Technology: CV19 ‘Vaccines’ Are Made To Destroy Humanity – Karen Kingston























Oh, Dear God !
Determined by His help & grace to stand against this onslaught on humanity.
Thank you for continuing to expose the darkness with the light of truth.
A plea to honest and experienced doctors for useful, telling diagnostics on whether post covid injection recovery/treatment is necessary
https://leemuller.substack.com/p/a-plea-to-honest-and-experienced