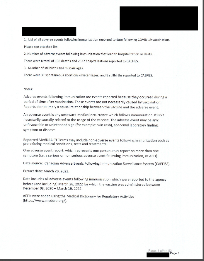
FOI Request Reveals a List of Adverse Events Following COVID-19 Vaccination in Canada
"Safe and Effective"
I would like to thank @Golden_Pup for making an FOI request and posting the detailed results on Twitter.
According to a report by Harvard Pilgrim Health Care Inc., only 1-13% of serious adverse events are reported.
Related articles:
Dr. Michael Yeadon: THIS MUST STOP! Pfizer Documents Show FDA Knew of Death Risk
PREMEDITATED MASS MURDER: Alarming Data From Canada and Vaccines Batch Scandal





































































Safe and effective.....
Thank you for your precious time and hard work Lioness!
GOD BLESS❤
Terrifying! All of it!